2025年9月21日保洁员职业技能等级(中级)报名人员公示
发布时间:2025-09-18
浏览次数:187
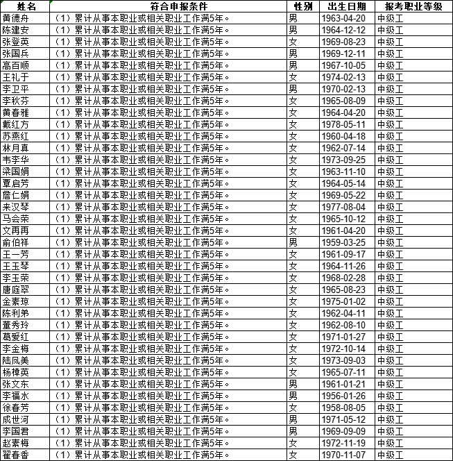
现将保洁员四级 (中级)职业技能等级认定资格审核考生信息予以公示,公示期2025年9月15日至9月19日,如对公示情况有异议,请提供有效证据,并实名电话或书面联系向浙江奥航综合服务有限公司行政人事管理中心反映(0571-87114188)。

现将保洁员四级 (中级)职业技能等级认定资格审核考生信息予以公示,公示期2025年9月15日至9月19日,如对公示情况有异议,请提供有效证据,并实名电话或书面联系向浙江奥航综合服务有限公司行政人事管理中心反映(0571-87114188)。
